“The study of mathematics develops and sets into operation a mental organism more valuable than a thousand eyes because through it alone can truth be apprehended.”
Plato, The Republic
A Misconception
Often, even from an early age, certain students develop an affinity for mathematical and scientific thinking, an affinity which parents, teachers, and administrators tend to foster. Excited to see a student actually enjoy math, and eager to see that child prosper, we seek out a pathway through the educational system that leads to a career in the so-called STEM fields. In this pursuit, many parents and educators are fixed upon steering these particular children away from classical schools, especially at the middle and high school levels. After all, they think, classical education is excellent for humanities kids, not math kids. A classical school might be a good model for an aspiring writer or historian, but for anyone with gifts or interests in the hard sciences, it does not provide the necessary knowledge and skills to prepare them for such a technologically advanced society.
There are perhaps, a few good reasons for this misconception, but looking more deeply, classical education and mathematics have always gone hand in hand. From ancient times, the disciplines of Arithmetic, Geometry, Astronomy, and Music have made up the Quadrivium, four of the seven liberal arts towards which classical education has always been oriented, and many of the most revered thinkers in the classical tradition made significant contributions to mathematics and science. Beyond these historical points, however, the virtues that remain at the heart of classical education – moral and intellectual excellence, engagement with deeply human questions, cultivation of imagination, an appreciation for the great thinkers of the past, and a love of the true, the good, and the beautiful – form a deep connection to the discipline of mathematics.
This paper intends to explore this connection, identifying the ways in which classical education provides students with the ability to think deeply about mathematics and prepares them for success and understanding.
An Example
Let’s begin by diving straight into the mathematics itself, exploring the nuances of a single problem in order to cast a concrete vision in which high-level mathematical thinking dovetails with classical pedagogy. First, we’ll use sound mathematical reasoning to solve a problem. Then, we’ll explore the same problem from a classical perspective.
The following optimization problem is pulled from a standard Calculus text:
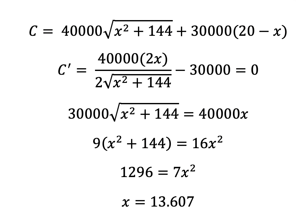
A drilling rig 12 miles offshore is to be connected by a pipe to a refinery onshore, 20 miles down the waterfront from the rig. If underwater pipe costs $40,000 per mile and land-based pipe costs $30,000 per mile, how ought the pipe to be run from the rig to the refinery?
This is complex problem, one that requires the combination of a number of different mathematical concepts and processes in order to arrive at a solution. To begin with, the problem must be conceptualized, translated, and modeled, moving from the words of the problem to a visualization of the scenario to a set mathematical expressions and equations. A student might draw the following picture, recognizing that the variable that the problem depends on is the distance down the shore line where the pipeline intersects the shore and then expressing all other distances in terms of that variable:

Once the context has been visualized, a student must then come to the realization that the cost of building this pipeline can be modeled by multiplying the distance of the pipeline by the price per mile and is therefore also dependent upon that single variable, x, resulting in the following equation:

Given this equation, then, the student might imagine the shape of this relationship by looking at the accompanying graph and realizing that this relationship has a local minimum somewhere between x = 10 and x = 15 and therefore that costs will increases if the spot the pipeline hits the shore is too close to the refinery or too close to the rig:

With this in mind, the problem is solved by finding that minimum point, recognizing that this will be the moment where the slope is equal to zero and therefore using the derivative function (set equal to zero) to solve for that optimal distance. This process may result in the following set of steps, a process that combines Algebra and Calculus, requiring precision and attention to detail (especially when using the chain rule!):

Thus, the pipeline should hit the shoreline 13.607 miles down the shore, and if we plug that value for x back into the cost equation, we can solve for the total price, which comes out to $917,490.16.
That answer is correct. But other than the answer, what did we learn by calculating it correctly?
At the highest levels, mathematicians are not mere calculators; they do not just use formulas to spit out answers. Rather, they are pattern-makers, abstractors, organizers, classifiers, definers, experimenters, justifiers, and formalizers, and it is these traits, more than anything else, that classical education instills in students.
A Classical Approach
If we consider the philosophy of classical education alongside the calculations that we did above, this standard calculus problem becomes an opportunity for deep discussion, imagination, and discovery.
To do so, classroom instruction uses a tried and true set of principles in order to engage students with a variety of important questions. In so doing, the problem becomes a springboard for discussing mathematical principles, connections to the world, and links to other fundamental ideas.
Here’s the problem again:
A drilling rig 12 miles offshore is to be connected by a pipe to a refinery onshore, 20 miles down the waterfront from the rig. If underwater pipe costs $40,000 per mile and land-based pipe costs $30,000 per mile, how ought the pipe to be run from the rig to the refinery?
Before even beginning the problem, teachers may pose the following questions, challenging students to explore the entirety of the context before blindly diving in:
- What are the various options for building the pipeline? Which one would be the simplest and why might that not be the most efficient? Which of these options makes the most sense?
- What do we want to minimize? What factors might be in a relationship with that thing? What might that relationship look like?
- What is the variable that can be controlled that affects the cost?
- What information in the problem is the most important? Why do you think so?
- What difficulties do you anticipate in solving this problem?
- About how much do you estimate the most efficient pipeline might cost? How much might we save by building it efficiently?
- Why does it makes sense that this problem might use Calculus?
- What other problems does this remind you of? In what senses is this one similar or distinct?
In taking the time to pursue these questions, students will be taught to rely not just on a set of memorized formulas but to really engage their minds, develop number sense, fully understand what the problem is asking for, become aware of the connections between reality and the mathematics that models that reality, hone their ability to predict, anticipate, and estimate, and generally see each math problem as a world to be explored rather than a task to be completed.
Even after the students have arrived at the answer, the teacher continues to pose insightful questions that probe students’ thoughts, challenging them to dig into the principles at hand:
- Why does it make sense that this graph would have a minimum point?
- Why does it make sense for x to be greater than halfway down the shoreline?
- Why does the graph bend upwards more severely near x = 0 than near x = 20?
- How would changes in the cost of underwater or on-shore pipe affect the answer?
- Would the answer change if the refinery was 100 miles down the shore? Why not?
- Would it ever make sense to run the pipe directly to the shore and then along the shore? Why not?
- Would it ever make sense to run the pipe directly to the refinery? Why?
- What was the most difficult part of this problem and what was the key to overcoming that problem?
- What other scenarios might result in a similar relationship?
These are not mere questions of fact; they do not require one- or two-word answers; rather, they require explanation, sense-making, and a certain depth of thought. Students and teachers who ask these kinds of questions are committed to probing beyond the problem itself, seeing each math problem not just as worthy of study in and of itself but worthy of study for the opportunities it provides to continue the search for truth, goodness, and beauty.
Paul Lockhart, in his beautiful essay “A Mathematician’s Lament” says the following:
“By concentrating on what, and leaving out why, mathematics is reduced to an empty shell. The art is not in the “truth” but in the explanation, the argument. It is the argument itself which gives the truth its context, and determines what is really being said and meant. Mathematics is the art of explanation. If you deny students the opportunity to engage in this activity— to pose their own problems, make their own conjectures and discoveries, to be wrong, to be creatively frustrated, to have an inspiration, and to cobble together their own explanations and proofs— you deny them mathematics itself.”
Paul Lockhart, A Mathematician’s Lament
This is the vision classical education has for mathematics, a vision that believes that math is more than just developing a set of skills for the 21st century technological world and that math encourages a set of virtues in the student: virtues of perseverance, insightfulness, creativity, diligence, and thoughtfulness, virtues that transcend any given century or situation.
Math develops, as Plato himself said in the Republic, “a mental organism more valuable than a thousand eyes because through it alone can truth be apprehended.”
Jonathan Gregg is a Lecturer in Mathematics at Hillsdale College and a former 6th-12th grade math teacher.
[…] at Hillsdale College, and on top of that, he’s a classical math guy and a talented teacher. You may remember him from this post. We asked him to give some thoughts about how teachers can continue their work remotely this […]